AI Bio 소식
[Creative PEGWorks공식 대리점]-8-Arm PEG-Acrylate,8-팔 폴리에틸렌 글리콜-아크릴레이트( PSB-822)
- AI바이오허브 오래 전 2025.02.03 23:42 Bulletin Board 인기
-
527
0
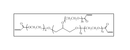
8-Arm PEG-Acrylate PSB-822
Description
8-Arm PEG-Acrylate is a multiarmed PEG derivative with acrylate at each terminal of the eight arms connected to one
hexaglycerol core. The 8arm-PEG acrylate has applications in radical initiator or UV light induced polymerization to
synthesize PEG hydrogel. 8-Arm PEG-methacrylate is available through our custom synthesis service.
4-Methoxyphenol or MeHQ at ~200 ppm is added as inhibitors.
8-팔 폴리에틸렌 글리콜-아크릴레이트"는 여덟 개의 팔 끝에 아크릴레이트가 결합된 다팔형 PEG 유도체로,
하나의 헥사글리세롤 코어와 연결되어 있습니다.
8-팔 PEG 아크릴레이트는 라디칼 개시제나 UV 빛에 의해 유도되는 중합 반응을 통해 PEG 하이드로겔을 합성하는 데 사용됩니다.
8-팔 PEG-메타크릴레이트는 맞춤형 합성 서비스를 통해 제공됩니다. 약 200 ppm의 4-메톡시페놀 또는 MEHQ가 억제제로 추가됩니다.
Properties
Molecular weight: 8-Arm PEG MW refers to the MW of the entire PEG molecule. The MW of each arm is 1/8 of the
MW indicated in the product name. MW of PEG was measured by MALDI-MS or GPC. PDI (polydispersity index)
of our 8-Arm PEG is 1.02-1.06 with very narrow MW distribution. The number of repeating ethylene oxide units
(CH2CH2O) or the degree of polymerization is calculated dividing the PEG MW by 44 (44 is the molecular mass
of one repeating unit).
분자량: 8-팔 PEG의 분자량은 전체 PEG 분자의 분자량(MW)을 의미합니다. 각 팔의 분자량은 제품 이름에 표시된 분자량의
1/8에 해당합니다. PEG의 분자량은 MALDI-MS 또는 GPC에 의해 측정되었습니다. 우리의 8-팔 PEG의 PDI(폴리분산 지수)는
1.02-1.06으로 매우 좁은 분자량 분포를 가지고 있습니다. 반복되는 에틸렌 옥사이드 단위(CH2CH2O)의 수 또는 중합도는
PEG의 분자량을 44(44는 하나의 반복 단위의 분자 질량)로 나누어 계산됩니다.
Solubility: Soluble in water and aqueous buffer, chloroform, methylene chloride, DMF, DMSO,
and less soluble in alcohol, toluene. Not soluble in ether.
용해도: 물 및 수성 완충 용액, 클로로포름, 메틸렌 클로라이드, DMF, DMSO에 용해됩니다. 알코올, 톨루엔에는 덜 용해됩니다.
에테르에는 용해되지 않습니다.
Density: PEG density is approximately 1.125 g/mL
밀도: PEG의 밀도는 약 1.125 g/mL입니다.
Physical form: PEG products generally appear as white or off-white powder, and for certain special 8-arm PEGs,
it may appear as wax-like, semi-solid material due to low MW and the type of functional groups.
물리적 형태: PEG 제품은 일반적으로 흰색 또는 미색의 분말 형태로 나타납니다. 특정 특수 8-팔 PEG의 경우,
낮은 분자량과 기능성 그룹의 유형 때문에 왁스 같은 반고체 형태로 나타날 수 있습니다.
Storage condition: PEG product shall be stored in the original form as received in a freezer at -20C or lower for
long term storage. Stock solution of PEG reagents that do not contain oxygen or moisture sensitive functional
groups may be temporarily stored in a refrigerator or ambient temperature for multiple days. Stock solution
should avoid repeated freeze-and-thaw cycles. See Documents section for detailed storage and handling conditions.
저장 조건: PEG 제품은 수령한 원래 형태로 냉동고에서 -20°C 이하의 온도에서 장기간 저장해야 합니다.
산소나 수분에 민감한 기능성 그룹이 포함되지 않은 PEG 시약의 재고 용액은 냉장고 또는 실온에서 며칠
동안 임시로 저장할 수 있습니다. 재고 용액은 반복되는 동결-해동 주기를 피해야 합니다.
자세한 저장 및 취급 조건은 문서 섹션을 참조하세요.
References
1. Matthias P. Lutolf et al, Designer matrices for intestinal stem cell and organoid culture, Nature, 2016, 539,
560-564, doi:10.1038/nature20168, Text.
2. PEG Hydrogels – Injectable laminin-functionalized hydrogel for nucleus pulposus regeneration, Biomaterials,
2013 (34): 7381-7388, Text.
3. Improved vascularization of porous scaffolds through growth factor delivery from heparinized polyethylene glycol
hydrogels, Acta Biomaterialia, 2017, Text.
4. A tunable hydrogel system for long-term release of cell-secreted cytokines and bioprinted in situ wound cell delivery,
J Biomed Mater Res Part B: Appl Biomater, 105B: 1986-2000, 2017, Text.
5. N-cadherin is Key to Expression of the Nucleus Pulposus Cell Phenotype under Selective Substrate Culture Conditions,
Scientific Reports 6, Article number: 28038 (2016), Text.
6. Combinatorial Screening of Nanoclay Reinforced Hydrogels: A Glimpse of the “Holy Grail†in Orthopedic
Stem Cell Therapy? ACS applied materials & interfaces (2018), Text.
7. Bioprinted trachea constructs with patient matched design, mechanical and biological properties, 2019, Biofabrication,
2019, doi: 10.1088/1758-5090/ab5354
8. Verteporfin treatment controls morphology, phenotype, and global gene expression for cells of the human nucleus
pulposus, JOR Spine. 2020;e1111, doi: 10.1002/jsp2.1111
9. Oxygen releasing hydrogels for beta cell assisted therapy, International Journal of Pharmaceutics, 2021, 120595, Text.
10. Development of a library of laminin-mimetic peptide hydrogels for control of nucleus pulposus cell behaviors, J Tissue
Eng. 2021 Jan-Dec; 12: 20417314211021220. Text.
11. Bio-instructive hydrogel expands the paracrine potency of mesenchymal stem cells, 2021, Biofabrication, 13 045002, Text.
#Angene#Angene#GreenChemistry#SustainableSolutions#AdvancedMaterials#AngeneChemicals#AngeneProducts#AngeneReagents#Elisa#Antibody#Benzenecarboximidamide#cyano#hydrochloride#Yeasts#Two-hybrid#Nuclear#NuclearSystem#Vector#VectorKit#ELK#ELKBiotechnology#Biotech#ELKBiotech#ELKBiotech#HumanANG1#Angioproteomie#Angiopoietin1
#ELISAKit#ELISA#ELISAKit#ELISA#Antibody#Protein#Mouse#AREG#Amphiregulin#MouseAREG#Enzyme#Anguotensin#ConvertingEnzyme#261762-44-1#Chengdu#Biopurify#ChengduBiopurify
- 이전글[Iduron공식 대리점]-Chondroitin and Dermatan Sulphate Polymers 콘드로이틴 및 더마탄 황산염 고분자(GAG-CSA01)2025.02.05
- 다음글[Creative PEGWorks공식 대리점]-8-Arm PEG-Acrylamide ,8-팔 폴리에틸렌 글리콜-아크릴아미드.(PSB-826)2025.02.03
댓글목록
등록된 댓글이 없습니다.
