AI Bio 소식
[Creative PEGWorks공식 대리점]-4-Arm PEG-Methacrylate,4-팔 폴리에틸렌 글리콜-메타크릴레이트(PSB-4091)
- AI바이오허브 오래 전 2025.02.03 21:42 Bulletin Board 인기
-
520
0
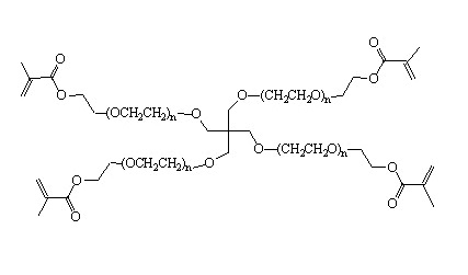
4-Arm PEG-Methacrylate PSB-4091
Description
4-Arm PEG-Methacrylate is a multiarmed PEG derivative with methacrylate at each terminal of the four arms connected
to one pentaerythritol core. PEG methacrylate used for radical initiator or UV light induced polymerization to synthesize
PEG hydrogel. Methacrylate also reacts with thiol-containing reagents through thiol-ene reaction. 4-Methoxyphenol or
MEHQ at ~ 200 ppm is added as inhibitors to prevent self-polymerization or partial crosslinking.
4-팔 폴리에틸렌 글리콜-메타크릴레이트"는 네 개의 팔 끝에 메타크릴레이트가 결합된 다팔형 PEG 유도체로,
하나의 펜타에리트리톨 코어와 연결되어 있습니다.
PEG 메타크릴레이트는 라디칼 개시제나 UV 빛에 의해 유도되는 중합 반응을 통해 PEG 하이드로겔을 합성하는 데 사용됩니다.
메타크릴레이트는 또한 티올을 포함한 시약과 티올-엔 반응을 통해 반응합니다. 자가 중합이나 부분 가교를 방지하기 위해 약
200 ppm의 4-메톡시페놀 또는 MEHQ가 억제제로 추가됩니다.
Properties
Molecular weight: 4-Arm PEG MW refers to the MW of the entire PEG molecule. The MW of each arm is 1/4 of the MW
indicated in the product name. MW of PEG was measured by MALDI-MS or GPC. PDI (polydispersity index) of our 4-Arm
PEG is 1.02-1.05 with very narrow MW distribution. The number of repeating ethylene oxide units (CH2CH2O) or the
degree of polymerization is calculated dividing the PEG MW by 44 (44 is the molecular mass of one repeating unit).
분자량: 4-팔 PEG의 분자량은 전체 PEG 분자의 분자량(MW)을 의미합니다. 각 팔의 분자량은 제품 이름에 표시된 분자량의
1/4에 해당합니다. PEG의 분자량은 MALDI-MS 또는 GPC에 의해 측정되었습니다. 우리의 4-팔 PEG의 PDI(폴리분산 지수)는
1.02-1.05로 매우 좁은 분자량 분포를 가지고 있습니다. 반복되는 에틸렌 옥사이드 단위(CH2CH2O)의 수 또는 중합도는
PEG의 분자량을 44(44는 하나의 반복 단위의 분자 질량)로 나누어 계산됩니다.
Solubility: Soluble in water and aqueous buffer, chloroform, methylene chloride, DMF, DMSO, and less soluble in
alcohol, toluene. Not soluble in ether.
용해도: 물 및 수성 완충 용액, 클로로포름, 메틸렌 클로라이드, DMF, DMSO에 용해됩니다. 알코올, 톨루엔에는 덜 용해됩니다.
에테르에는 용해되지 않습니다.
Density: PEG density is approximately 1.125 g/mL.
밀도: PEG의 밀도는 약 1.125 g/mL입니다.
Physical form: PEG products generally appear as white or off-white powder, and for very low MW 4-Arm PEG such as
MW 2k, it may appear as wax-like, semi-solid material due to the low MW and the type of functional groups.
물리적 형태: PEG 제품은 일반적으로 흰색 또는 미색의 분말 형태로 나타납니다. 분자량이 매우 낮은 4-팔 PEG(MW 2k)와 같은 경우,
낮은 분자량과 기능성 그룹의 유형 때문에 왁스 같은 반고체 형태로 나타날 수 있습니다.
Storage condition: PEG product shall be stored in the original form as received in a freezer at -20C or lower for long term
storage. Stock solution of PEG reagents that do not contain oxygen or moisture sensitive functional groups may be
temporarily stored in a refrigerator or ambient temperature for multiple days. Stock solution should avoid repeated
freeze-and-thaw cycles. See Documents section for detailed storage and handling conditions.
저장 조건: PEG 제품은 수령한 원래 형태로 냉동고에서 -20°C 이하의 온도에서 장기간 저장해야 합니다. 산소나 수분에
민감한 기능성 그룹이 포함되지 않은 PEG 시약의 재고 용액은 냉장고 또는 실온에서 며칠 동안 임시로 저장할 수 있습니다.
재고 용액은 반복되는 동결-해동 주기를 피해야 합니다. 자세한 저장 및 취급 조건은 문서 섹션을 참조하세요.
References
1. Exploration of Dynamic Elastic Modulus Changes on Glioblastoma Cell Populations with Aberrant EGFR Expression
as a Potential Therapeutic Intervention Using a Tunable Hyaluronic Acid Hydrogel Platform, Gels 2017, 3(3), 28; Text.
2. Hydrogel network design using multifunctional macromers to coordinate tissue maturation in ovarian follicle culture,
Biomaterials, Issue 10, 2011, 2524-2531, Text.
3. Short laminin peptide for improved neural stem cell growth.” Stem cells translational medicine 3.5 (2014): 662, Text.
4. Effects of substrate stiffness on adipogenic and osteogenic differentiation of human mesenchymal stem cells.
Materials Science and Engineering: C 40 (2014): 316-323. Text.
5. A hydrogel bioink toolkit for mimicking native tissue biochemical and mechanical properties in bioprinted tissue
constructs. Acta Biomaterialia (2015). Text.
6. Poly(HDDA)-Based Polymers for Microfabrication and Mechanobiology, MRS Advances, 2017, 2, 24, 1315-1321. Text.
7. Engineering complex tissue-like microgel arrays for evaluating stem cell differentiation, Scientific Reports 6, 30445 (2016), Text.
8. Stiffness of Hyaluronic Acid Gels Containing Liver Extracellular Matrix Supports Human Hepatocyte Function and Alters
Cell Morphology.J Mech Behav Biomed Mater. 2015 Mar;55:87-103. Text.
9. HA-Thiol/PEG-Methacrylate: In situ forming biomaterials as muscle void fillers for the provisional treatment of volumetric
muscle loss injuries, Materials Today Bio, Volume 22, October 2023, 100781, Text.
10. Design and ex vivo development of a suprachoroidal spacer implant to treat glaucoma, Research Square, 2024,
doi.org/10.21203/rs.3.rs-3895533/v1, Text.
- 이전글[Creative PEGWorks공식 대리점]-8-Arm PEG-Acrylamide ,8-팔 폴리에틸렌 글리콜-아크릴아미드.(PSB-826)2025.02.03
- 다음글[Creative PEGWorks공식 대리점]-4-Arm PEG-Acrylate,4-팔 PEG-아크릴레이트 (PSB-420)2025.02.03
댓글목록
등록된 댓글이 없습니다.
