AI Bio 소식
[Creative PEGWorks공식 대리점]-4-Arm PEG-Acrylate,4-팔 PEG-아크릴레이트 (PSB-420)
- AI바이오허브 오래 전 2025.02.03 18:42 Bulletin Board 인기
-
460
0
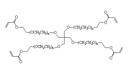
4-Arm PEG-Acrylate PSB-420
Description
4-Arm PEG-Acrylate is a multi-armed PEG derivative with acrylate groups at each terminal of the four arms connected
to one pentaerythritol core. The 4arm-PEG acrylate can be used for radical initiator or UV light induced polymerization
to synthesize PEG hydrogel. 4-Arm PEG-methacrylate is provided through our custom synthesis service.
4-Methoxyphenol or MeHQ at ~ 200 ppm is added as inhibitors.
4-팔 PEG-아크릴레이트 4-팔 PEG-아크릴레이트는 하나의 펜타에리트리톨 코어에 연결된 네 개의 팔 끝에 아크릴레이트
그룹이 있는 다팔형 PEG 유도체입니다. 4-팔 PEG 아크릴레이트는 라디칼 개시제 또는 UV 광 유도 중합을 통해 PEG
하이드로겔을 합성하는 데 사용할 수 있습니다. 4-팔 PEG-메타크릴레이트는 맞춤 합성 서비스를 통해 제공됩니다.
4-메톡시페놀(MeHQ) 약 200ppm이 억제제로 추가됩니다.
Properties
Molecular weight: 4-Arm PEG MW refers to the MW of the entire PEG molecule. The MW of each arm is 1/4 of the
MW indicated in the product name. MW of PEG was measured by MALDI-MS or GPC. PDI (polydispersity index) of
our 4-Arm PEG is 1.02-1.05 with very narrow MW distribution. The number of repeating ethylene oxide units
(CH2CH2O) or the degree of polymerization is calculated dividing the PEG MW by 44
(44 is the molecular mass of one repeating unit).
특성 분자량: 4-팔 PEG 분자량은 전체 PEG 분자의 분자량을 나타냅니다. 각 팔의 분자량은 제품명에 표시된 분자량의
1/4입니다. PEG의 분자량은 MALDI-MS 또는 GPC로 측정되었습니다. 우리의 4-팔 PEG의 PDI(분자량 분포 지수)는
1.02-1.05로 매우 좁은 분자량 분포를 가지고 있습니다. 반복 에틸렌 옥사이드 단위(CH2CH2O)의 수 또는 중합도는
PEG 분자량을 44로 나누어 계산됩니다(44는 하나의 반복 단위의 분자량).
Solubility: Soluble in water and aqueous buffer, chloroform, methylene chloride, DMF, DMSO, and less soluble
in alcohol, toluene. Not soluble in ether.
용해도 물과 수성 완충액, 클로로포름, 염화메틸렌, DMF, DMSO에 용해됩니다. 알코올, 톨루엔에는 덜 용해됩니다.
에테르에는 용해다.되지 않습니
Density: PEG density is approximately 1.125 g/mL.
밀도 PEG의 밀도는 약 1.125 g/mL입니다.
Physical form: PEG products generally appear as white or off-white powder, and for very low MW 4-Arm PEG
such as MW 2k, it may appear as wax-like, semi-solid material due to the low MW and the type of functional groups.
물리적 형태 PEG 제품은 일반적으로 흰색 또는 흰색에 가까운 분말로 나타납니다. 분자량이 매우 낮은 4-팔 PEG
(예: MW 2k)의 경우, 분자량이 낮고 기능성 그룹의 유형 때문에 왁스와 같은 반고체 물질로 나타날 수 있습니다.
Storage condition: PEG product shall be stored in the original form as received in a freezer at -20C or lower for
long term storage. Stock solution of PEG reagents that do not contain oxygen or moisture sensitive functional
groups may be temporarily stored in a refrigerator or ambient temperature for multiple days. Stock solution
should avoid repeated freeze-and-thaw cycles. See Documents section for detailed storage and handling conditions.
보관 조건 PEG 제품은 원래 받은 형태로 -20도 이하의 냉동고에 장기 보관해야 합니다. 산소 또는 수분에 민감한
기능성 그룹이 포함되지 않은 PEG 시약의 스톡 용액은 냉장고 또는 실온에서 여러 날 동안 임시로 보관할 수 있습니다.
스톡 용액은 반복되는 동결과 해동 사이클을 피해야 합니다. 자세한 보관 및 취급 조건은 문서 섹션을 참조하십시오.
References
1. Exploration of Dynamic Elastic Modulus Changes on Glioblastoma Cell Populations with Aberrant EGFR Expression
as a Potential Therapeutic Intervention Using a Tunable Hyaluronic Acid Hydrogel Platform, Gels 2017, 3(3), 28; Text.
2. Hydrogel network design using multifunctional macromers to coordinate tissue maturation in ovarian follicle
culture, Biomaterials, Issue 10, 2011, 2524-2531, Text.
3. Short laminin peptide for improved neural stem cell growth.” Stem cells translational medicine 3.5 (2014): 662, Text.
4. Effects of substrate stiffness on adipogenic and osteogenic differentiation of human mesenchymal stem cells.
Materials Science and Engineering: C 40 (2014): 316-323. Text.
5. A hydrogel bioink toolkit for mimicking native tissue biochemical and mechanical properties in bioprinted
tissue constructs. Acta Biomaterialia (2015). Text.
6. Poly(HDDA)-Based Polymers for Microfabrication and Mechanobiology, MRS Advances, 2017, 2, 24, 1315-1321. Text.
7. Engineering complex tissue-like microgel arrays for evaluating stem cell differentiation, Scientific Reports
6, 30445 (2016), Text.
8. Stiffness of Hyaluronic Acid Gels Containing Liver Extracellular Matrix Supports Human Hepatocyte Function
and Alters Cell Morphology. J Mech Behav Biomed Mater. 2015 Mar;55:87-103. Text.
9. A role for mast cells in geographic atrophy, The FASEB Journal. 2020;00:1-15, Text.
10. Combinations of photoinitiator and UV absorber for cell-based digital light processing (DLP) bioprinting,
Biofabrication, 2021, Text.
11. Bio-instructive hydrogel expands the paracrine potency of mesenchymal stem cells, 2021, Biofabrication,
13 045002, Text.
- 이전글[Creative PEGWorks공식 대리점]-4-Arm PEG-Methacrylate,4-팔 폴리에틸렌 글리콜-메타크릴레이트(PSB-4091)2025.02.03
- 다음글[Creative PEGWorks공식 대리점]-4-Arm PEG-Acrylamide 4-팔 PEG-아크릴아마이드" (PSB-411)2025.02.03
댓글목록
등록된 댓글이 없습니다.
